請問巫師 #422
為了方便討論,假設一個二十一點遊戲有無限多副牌,允許無限次重新分牌,並且玩家可以分任何一對牌。那麼,玩家最終打出任意數量的牌的機率是多少?
重新分割為 n 手的機率為 (combin(2*(n-1),n-1)/n) × (1/13)^(n-1) × (12/13)^n 。關於第一項的更多資訊(我需要一些幫助),請查閱Catalan numbers 。
下表顯示了最終牌型為1到20的機率。秒數列表示「樹」的數量,也就是上述表達式中的卡泰隆尼亞數。
| 手 | 樹木 | 可能性 |
|---|---|---|
| 1 | 1 | 0.9230769230769 |
| 2 | 1 | 0.0655439235321 |
| 3 | 2 | 0.0093080128093 |
| 4 | 5 | 0.0016523099661 |
| 5 | 14 | 0.0003285065968 |
| 6 | 四十二 | 0.0000699777366 |
| 7 | 132 | 0.0000156163334 |
| 8 | 429 | 0.0000036037693 |
| 9 | 1430 | 0.0000008529631 |
| 10 | 4862 | 0.0000002059225 |
| 11 | 16796 | 0.0000000505114 |
| 12 | 58786 | 0.0000000125531 |
| 十三 | 208012 | 0.0000000031540 |
| 14 | 742900 | 0.0000000007998 |
| 15 | 2674440 | 0.0000000002045 |
| 16 | 9694845 | 0.0000000000526 |
| 17 | 35357670 | 0.0000000000136 |
| 18 | 129644790 | 0.0000000000035 |
| 19 | 477638700 | 0.00000000000009 |
| 20 | 1767263190 | 0.0000000000002 |
我聽說畢達哥拉斯三元組有無數個。有什麼公式可以求它們嗎?
是的,有無數個獨特的畢達哥拉斯三元組!對於那些不熟悉這個術語的人來說,它們是直角三角形,每條邊都是整數。 3-4-5 是最著名的一個。為了得到一個獨特的(換句話說,不可約的)集合,畢達哥拉斯三元組可以為 a 和 b 選擇任意整數值,其中 a < b,並且一個為奇數,一個為偶數。
- 第 1 條腿 = b 2 - a 2
- 第 2 條腿 = 2ab
- 斜邊 = a 2 + b 2
下表列出了所有邊長均為 101 或更小的不可約勾股數。
| a,b | 第 1 站 | 第 2 站 | 斜邊 |
|---|---|---|---|
| 1,2 | 3 | 4 | 5 |
| 1,4 | 8 | 15 | 17 |
| 1,6 | 12 | 三十五 | 三十七 |
| 1,8 | 16 | 63 | 65 |
| 1,10 | 20 | 99 | 101 |
| 2,3 | 5 | 12 | 十三 |
| 2.5 | 20 | 21 | 二十九 |
| 2,7 | 二十八 | 45 | 53 |
| 2,9 | 三十六 | 77 | 85 |
| 3,4 | 7 | 24 | 二十五 |
| 3,6 | 二十七 | 三十六 | 45 |
| 3,8 | 四十八 | 55 | 73 |
| 4,5 | 9 | 40 | 41 |
| 4,7 | 33 | 56 | 65 |
| 4,9 | 65 | 72 | 97 |
| 5,6 | 11 | 60 | 61 |
| 5,8 | 三十九 | 80 | 89 |
| 6,7 | 十三 | 84 | 85 |
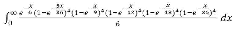
使用兩個骰子,在擲出七點之前,至少擲出兩次除七點之外的其他所有點數的機率是多少?
這類問題的訣竅在於,如果擲骰子之間的時間遵循平均值為 1 的指數分佈,則機率相同。在這種情況下,可以用以下公式給出。

以文字表示:exp(-x/6)*(1-exp(-5x/36))^4*(1-exp(-4x/36))^4*(1-exp(-3x/36))^4*(1-exp(-2x/36))^4*(1-exp(-1x/36)))^4^
為了解決此類積分,我建議使用這個積分計算器。
答案是 7864581698887803455719/10946915593544650625105200 =~ 0.0007184290069364848。