在這一頁
火註
簡介
火注(Fire Bet)是擲骰子遊戲中很受歡迎的附加投注,賠率取決於擲骰者贏得的點數。我知道有三種賠率表,如下所示。每種賠率的賭場優勢都列在表格的最下面一行。賠率表1是最常見的。賠率以「一比一」為基數。負一表示輸。
火注賠率表
| 重點 | 支付表A | 支付表B | 支付表C |
|---|---|---|---|
| 6 | 999 | 2000 | 299 |
| 5 | 249 | 200 | 149 |
| 4 | 24 | 10 | 二十九 |
| 3 | -1 | -1 | 6 |
| 2 | -1 | -1 | -1 |
| 1 | -1 | -1 | -1 |
| 0 | -1 | -1 | -1 |
| 莊家優勢 | 20.76% | 24.86% | 20.73% |
以下是我對賠率表 A 的分析。右下角單元格顯示莊家優勢為 20.76%。
火注 — 賠率表 A
| 重點 | 支付 | 可能性 | 返回 |
|---|---|---|---|
| 0 | -1 | 0.593939 | -0.593939 |
| 1 | -1 | 0.260750 | -0.26075 |
| 2 | -1 | 0.101275 | -0.101275 |
| 3 | -1 | 0.033434 | -0.033434 |
| 4 | 24 | 0.008798 | 0.211156 |
| 5 | 249 | 0.001640 | 0.408343 |
| 6 | 999 | 0.000162 | 0.162272 |
| 全部的 | 1 | -0.207628 |
以下是我對賠率表 B 的分析。右下角單元格顯示莊家優勢為 24.86%。
火注 — 賠率表 B
| 重點 | 支付 | 可能性 | 返回 |
|---|---|---|---|
| 0 | -1 | 0.593939 | -0.593939 |
| 1 | -1 | 0.260750 | -0.26075 |
| 2 | -1 | 0.101275 | -0.101275 |
| 3 | -1 | 0.033434 | -0.033434 |
| 4 | 10 | 0.008798 | 0.087982 |
| 5 | 200 | 0.001640 | 0.327987 |
| 6 | 2000 | 0.000162 | 0.324869 |
| 全部的 | 1 | -0.248562 |
以下是我對賠付表 C 的分析。右下角單元格顯示莊家優勢為 20.73%。
火注 — 賠率表 C
| 重點 | 支付 | 可能性 | 返回 |
|---|---|---|---|
| 0 | -1 | 0.593939 | -0.593939 |
| 1 | -1 | 0.260750 | -0.26075 |
| 2 | -1 | 0.101275 | -0.101275 |
| 3 | 6 | 0.033434 | 0.200605 |
| 4 | 二十九 | 0.008798 | 0.255147 |
| 5 | 149 | 0.001640 | 0.244350 |
| 6 | 299 | 0.000162 | 0.048568 |
| 全部的 | 1 | -0.207295 |
下表顯示了得分為 0 到 6 分的機率,其中的有效數字個數為 Excel 可以處理的數。
火投注機率
| 重點 | 可能性 |
|---|---|
| 0 | 0.593939393939394 |
| 1 | 0.260750492003903 |
| 2 | 0.101275355549231 |
| 3 | 0.0334342121788456 |
| 4 | 0.00879817844040312 |
| 5 | 0.00163993313895325 |
| 6 | 0.000162434749269826 |
我常被問到如何計算上述機率。這是一個很有挑戰性的數學問題。下面,我列出了三種方法來計算從0到6任意點數的機率。
隨機模擬
隨機模擬是分析Fire Bet最簡單的方法。憑藉現代計算機的速度,它也極為精確。只有最純粹的數學家(像我)才會追求精確的解決方案。下表顯示了根據賠償表A結算的近400億個Fire Bet的模擬結果。右下角單元格顯示賭場優勢為20.7531%。實際賭場優勢為20.7628%,因此模擬結果的精確度達到了0.01%。
模擬投注
| 重點 | 支付 | 勝利 | 可能性 | 返回 |
|---|---|---|---|---|
| 6 | 999 | 6,452,452 | 0.000162 | 0.162257 |
| 5 | 249 | 65,165,019 | 0.001640 | 0.408438 |
| 4 | 24 | 349,553,690 | 0.008799 | 0.211173 |
| 3 | -1 | 1,328,267,592 | 0.033435 | -0.033435 |
| 2 | -1 | 4,023,371,732 | 0.101275 | -0.101275 |
| 1 | -1 | 10,358,742,102 | 0.260747 | -0.260747 |
| 0 | -1 | 23,595,605,529 | 0.593941 | -0.593941 |
| 全部的 | 39,727,158,116 | 1.000000 | -0.207531 |
馬可夫鏈
精確計算「火注」賠率的方法是使用馬可夫鏈。這意味著,給定已完成的64種可能點數狀態中的任一種,計算未來完成任意點數的機率。最後階段的數學計算相當簡單,只需再完成一個點數即可完成所有六個點數。然後,回到第一次投擲的起始狀態。
第一個狀態表示為表格中的第一行(不包括列標題)。它顯示了完成 0 到 6 之間任意點數的機率。
火注馬可夫鏈
| 積分 已經 製成 | 可能性 0 分 | 可能性 1 分 | 可能性 2 分 | 可能性 3 分 | 可能性 4 分 | 可能性 5 分 | 可能性 6 分 |
|---|---|---|---|---|---|---|---|
| 沒有任何 | 0.593939 | 0.260750 | 0.101275 | 0.033434 | 0.008798 | 0.001640 | 0.000162 |
| 10 | 0.000000 | 0.619763 | 0.256759 | 0.091331 | 0.026183 | 0.005375 | 0.000589 |
| 9 | 0.000000 | 0.636364 | 0.252138 | 0.084540 | 0.022402 | 0.004153 | 0.000404 |
| 9,10 | 0.000000 | 0.000000 | 0.666100 | 0.244772 | 0.072316 | 0.015152 | 0.001660 |
| 8 | 0.000000 | 0.656067 | 0.244255 | 0.076831 | 0.019163 | 0.003370 | 0.000314 |
| 8,10 | 0.000000 | 0.000000 | 0.687719 | 0.234612 | 0.063990 | 0.012405 | 0.001274 |
| 8,9 | 0.000000 | 0.000000 | 0.708220 | 0.225365 | 0.055933 | 0.009618 | 0.000864 |
| 8,9,10 | 0.000000 | 0.000000 | 0.000000 | 0.745247 | 0.209635 | 0.041004 | 0.004114 |
| 6 | 0.000000 | 0.656067 | 0.244255 | 0.076831 | 0.019163 | 0.003370 | 0.000314 |
| 6,10 | 0.000000 | 0.000000 | 0.687719 | 0.234612 | 0.063990 | 0.012405 | 0.001274 |
| 6,9 | 0.000000 | 0.000000 | 0.708220 | 0.225365 | 0.055933 | 0.009618 | 0.000864 |
| 6,9,10 | 0.000000 | 0.000000 | 0.000000 | 0.745247 | 0.209635 | 0.041004 | 0.004114 |
| 6,8 | 0.000000 | 0.000000 | 0.732710 | 0.210728 | 0.048135 | 0.007762 | 0.000665 |
| 6,8,10 | 0.000000 | 0.000000 | 0.000000 | 0.772414 | 0.190903 | 0.033563 | 0.003120 |
| 6,8,9 | 0.000000 | 0.000000 | 0.000000 | 0.798371 | 0.173323 | 0.026215 | 0.002091 |
| 6,8,9,10 | 0.000000 | 0.000000 | 0.000000 | 0.000000 | 0.845739 | 0.142050 | 0.012211 |
| 5 | 0.000000 | 0.636364 | 0.252138 | 0.084540 | 0.022402 | 0.004153 | 0.000404 |
| 5,10 | 0.000000 | 0.000000 | 0.666100 | 0.244772 | 0.072316 | 0.015152 | 0.001660 |
| 5,9 | 0.000000 | 0.000000 | 0.685315 | 0.237358 | 0.064328 | 0.011875 | 0.001124 |
| 5,9,10 | 0.000000 | 0.000000 | 0.000000 | 0.719927 | 0.224997 | 0.049645 | 0.005432 |
| 5,8 | 0.000000 | 0.000000 | 0.708220 | 0.225365 | 0.055933 | 0.009618 | 0.000864 |
| 5,8,10 | 0.000000 | 0.000000 | 0.000000 | 0.745247 | 0.209635 | 0.041004 | 0.004114 |
| 5,8,9 | 0.000000 | 0.000000 | 0.000000 | 0.769382 | 0.195368 | 0.032496 | 0.002754 |
| 5,8,9,10 | 0.000000 | 0.000000 | 0.000000 | 0.000000 | 0.813278 | 0.170376 | 0.016346 |
| 5,6 | 0.000000 | 0.000000 | 0.708220 | 0.225365 | 0.055933 | 0.009618 | 0.000864 |
| 5,6,10 | 0.000000 | 0.000000 | 0.000000 | 0.745247 | 0.209635 | 0.041004 | 0.004114 |
| 5,6,9 | 0.000000 | 0.000000 | 0.000000 | 0.769382 | 0.195368 | 0.032496 | 0.002754 |
| 5,6,9,10 | 0.000000 | 0.000000 | 0.000000 | 0.000000 | 0.813278 | 0.170376 | 0.016346 |
| 5,6,8 | 0.000000 | 0.000000 | 0.000000 | 0.798371 | 0.173323 | 0.026215 | 0.002091 |
| 5,6,8,10 | 0.000000 | 0.000000 | 0.000000 | 0.000000 | 0.845739 | 0.142050 | 0.012211 |
| 5,6,8,9 | 0.000000 | 0.000000 | 0.000000 | 0.000000 | 0.876957 | 0.114977 | 0.008066 |
| 5,6,8,9,10 | 0.000000 | 0.000000 | 0.000000 | 0.000000 | 0.000000 | 0.934446 | 0.065554 |
| 4 | 0.000000 | 0.619763 | 0.256759 | 0.091331 | 0.026183 | 0.005375 | 0.000589 |
| 4,10 | 0.000000 | 0.000000 | 0.647934 | 0.250930 | 0.079930 | 0.018752 | 0.002454 |
| 4,9 | 0.000000 | 0.000000 | 0.666100 | 0.244772 | 0.072316 | 0.015152 | 0.001660 |
| 4,9,10 | 0.000000 | 0.000000 | 0.000000 | 0.698752 | 0.234682 | 0.058434 | 0.008131 |
| 4,8 | 0.000000 | 0.000000 | 0.687719 | 0.234612 | 0.063990 | 0.012405 | 0.001274 |
| 4,8,10 | 0.000000 | 0.000000 | 0.000000 | 0.722581 | 0.221643 | 0.049624 | 0.006153 |
| 4,8,9 | 0.000000 | 0.000000 | 0.000000 | 0.745247 | 0.209635 | 0.041004 | 0.004114 |
| 4,8,9,10 | 0.000000 | 0.000000 | 0.000000 | 0.000000 | 0.786359 | 0.188851 | 0.024790 |
| 4,6 | 0.000000 | 0.000000 | 0.687719 | 0.234612 | 0.063990 | 0.012405 | 0.001274 |
| 4,6,10 | 0.000000 | 0.000000 | 0.000000 | 0.722581 | 0.221643 | 0.049624 | 0.006153 |
| 4,6,9 | 0.000000 | 0.000000 | 0.000000 | 0.745247 | 0.209635 | 0.041004 | 0.004114 |
| 4,6,9,10 | 0.000000 | 0.000000 | 0.000000 | 0.000000 | 0.786359 | 0.188851 | 0.024790 |
| 4,6,8 | 0.000000 | 0.000000 | 0.000000 | 0.772414 | 0.190903 | 0.033563 | 0.003120 |
| 4,6,8,10 | 0.000000 | 0.000000 | 0.000000 | 0.000000 | 0.816667 | 0.164832 | 0.018502 |
| 4,6,8,9 | 0.000000 | 0.000000 | 0.000000 | 0.000000 | 0.845739 | 0.142050 | 0.012211 |
| 4,6,8,9,10 | 0.000000 | 0.000000 | 0.000000 | 0.000000 | 0.000000 | 0.899083 | 0.100917 |
| 4,5 | 0.000000 | 0.000000 | 0.666100 | 0.244772 | 0.072316 | 0.015152 | 0.001660 |
| 4,5,10 | 0.000000 | 0.000000 | 0.000000 | 0.698752 | 0.234682 | 0.058434 | 0.008131 |
| 4,5,9 | 0.000000 | 0.000000 | 0.000000 | 0.719927 | 0.224997 | 0.049645 | 0.005432 |
| 4,5,9,10 | 0.000000 | 0.000000 | 0.000000 | 0.000000 | 0.758221 | 0.208531 | 0.033248 |
| 4,5,8 | 0.000000 | 0.000000 | 0.000000 | 0.745247 | 0.209635 | 0.041004 | 0.004114 |
| 4,5,8,10 | 0.000000 | 0.000000 | 0.000000 | 0.000000 | 0.786359 | 0.188851 | 0.024790 |
| 4,5,8,9 | 0.000000 | 0.000000 | 0.000000 | 0.000000 | 0.813278 | 0.170376 | 0.016346 |
| 4,5,8,9,10 | 0.000000 | 0.000000 | 0.000000 | 0.000000 | 0.000000 | 0.862486 | 0.137514 |
| 4,5,6 | 0.000000 | 0.000000 | 0.000000 | 0.745247 | 0.209635 | 0.041004 | 0.004114 |
| 4,5,6,10 | 0.000000 | 0.000000 | 0.000000 | 0.000000 | 0.786359 | 0.188851 | 0.024790 |
| 4,5,6,9 | 0.000000 | 0.000000 | 0.000000 | 0.000000 | 0.813278 | 0.170376 | 0.016346 |
| 4,5,6,9,10 | 0.000000 | 0.000000 | 0.000000 | 0.000000 | 0.000000 | 0.862486 | 0.137514 |
| 4,5,6,8 | 0.000000 | 0.000000 | 0.000000 | 0.000000 | 0.845739 | 0.142050 | 0.012211 |
| 4,5,6,8,10 | 0.000000 | 0.000000 | 0.000000 | 0.000000 | 0.000000 | 0.899083 | 0.100917 |
| 4,5,6,8,9 | 0.000000 | 0.000000 | 0.000000 | 0.000000 | 0.000000 | 0.934446 | 0.065554 |
| 4,5,6,8,9,10 | 0.000000 | 0.000000 | 0.000000 | 0.000000 | 0.000000 | 0.000000 | 1.000000 |
如果您打算嘗試重現我的工作,這裡有一些關於如何從一個狀態過渡到另一個狀態的建議。從接近尾聲的狀態開始,在這些狀態下,投手已經拿下5分。例如,如果投手只需要4分,那麼可能會發生三種情況:(1) 他確定並得到4分;(2) 他確定並得到他已經得到的一個分;(3) 他得到7分。 (1) 的機率為 (3/24)*(1/3) = 1/24 = 0.041667。 (2) 的機率為 (4/24)*(2/5) + (5/24)*(5/11) + (5/24)*(5/11) + (4/24)*(2/5) + (3/24)*(1/3) = 0.364394。 (3) 的機率是 1 - 0.041667 - 0.364394 = 0.593939。最終事件 (1) 或 (3) 都會發生。 (1) 先於 (3) 發生的機率是 0.041667/(0.041667+0.593939) = 0.065554。遞歸地回到起點。這要么耗時、冗長、枯燥,要么你可以在電子表格中以自動化的方式完成。
結石
此方法的第一步是計算在確定點數後,過度投注所有7種可能相關結果的機率。我們可以忽略玩家在「come out」擲骰中立即獲勝或輸掉的12種組合(即1/3的機率),因為這些事件對Fire Bet投注來說並不重要。因此,第一次擲骰是基於24種可能的組合,而不是36種。
- 得分 4 分並獲勝 = (3/24) × (3/9) = 1/24 = 約 4.17%
- 得 5 分 = (4/24) × (4/10) = 1/15 = 約 6.67%
- 6分得分並獲勝=(5/24)×(5/11)= 25/264 = 約9.47%
- 8分得分並獲勝=(5/24)×(5/11)= 25/264 = 約9.47%
- 得分 9 分並獲勝 = (4/24) × (4/10) = 1/15 = 約 6.67%
- 得 10 分 = (3/24) × (3/9) = 1/24 = 約 4.17%
- 任何得分且 7 出局 = 2×((3/24) × (6/9))+ 2× ((4/24) × (6/10)) + 2×((5/24) × (6/11)) = 98/165 = 約 59.39%
請注意,這些機率的總和等於 1。
接下來,Fire Bet 的投注結果並非由兩次擲骰子決定,而是考慮事件發生間隔的隨機性,事件間隔服從指數分佈,平均間隔時間為一個單位時間。如果某個事件確實發生,該事件將遵循我們剛剛計算的擲骰子機率。
例如,點數為4的勝利機率為1/24。因此,點數為4的勝利之間的時間間隔平均為24個單位。在x個單位的時間內沒有點數為10的勝利的機率為exp(-x/24)。順便提一句,在x個單位的時間內至少有一次點數為10的勝利的機率為1-exp(-x/24)。
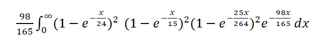
在判定「火注」投注結果時,事件間隔多久並不重要,重要的是事件本身。因此,我們可以將整個投注時間的積分結果整合如下:

讓我解釋一下這個積分的意思。它指的是在 x 個單位時間內,除 7 點外,所有點數至少有一次獲勝的機率。由於 4 點和 10 點獲勝的機率相同,我們可以將 4 點獲勝的機率平方。 5 點和 9 點,以及 6 點和 8 點的機率也一樣。最後,我們將整數乘以 98/165(即七點出局的機率),以結束投注。如果我們不這樣做,玩家可能會因為多次重疊獲勝而獲得賠償。
手動積分非常繁瑣,容易出錯。幸運的是,現在有積分計算器。要使用積分計算器來解決這個問題,請點擊鏈接,並在頂部的文本框中輸入以下內容:(1-exp(-x/24))^2*(1-exp(-x/15))^2*(1-exp(-25x/264))^2*exp(-98x/165)/(165/998)。然後點擊“選項”,將下限設為 0,上限設為無限大。然後點選“開始”。
在考慮積分界限之前,答案是(98*(-(165*e^(-(98*x)/165))/98+(2640*e^(-(839*x)/1320))/839+(330*e^(-(109*x)/165))/109 -(220*e^(-(149*x)/220))/149+(880*e^(-(303*x)/440))/303-(1760*e^(-(309*x)/440))/309-(11* e^(-(8*x)/11))/8-(1320*e^(-(241*x)/330))/241+(1320*e^(-(491*x)/660))/491-(5280*e^(-(99) 7*x)/1320))/997+(528*e^(-(203*x)/264))/203+(2640*e^(-(1019*x)/1320))/1019-(60*e^(-(47*x) )/60))/47+(2640*e^(-(263*x)/330))/263-(132*e^(-(107*x)/132))/107+(528*e^(-(217*x)/264) )/217+(80*e^(-(33*x)/40))/33-(1760*e^(-(369*x)/440))/369+(40*e^(-(17*x)/20))/17-(88*e^( -(19*x)/22))/19-(15*e^(-(13*x)/15))/13-(480*e^(-(107*x)/120))/107+(528*e^(-(239*x)/264) )/239-(12*e^(-(11*x)/12))/11+(15*e^(-(14*x)/15))/7+(48*e^(-(23*x)/24))/23-e^(-x)))/165。
幸運的是,該計算器確實允許積分界限,並給出解決方案為 3700403899126040038831518494284887738125 / 2278086379767891900423618438194381945 0.0001624347492698264。
當然,這只是命中全部六個點的機率,但同樣的邏輯可以用來計算任意數量的點的機率。這個就留給讀者練習吧 ;-)。
外部連結
- 在我的同伴網站Wizard of Vegas上討論了 Fire Bet 數學
- 請參閱我自己的電子表格,我將其發佈在 GoogleDocs 上,供任何人下載。
- Stwart N. Ethier 所寫的《機會主義:賭博的機率面》對 Fire Bet 數學進行了討論。
致謝
我要感謝維加斯巫師論壇成員 Ace2 對我使用積分求解 Fire Bet 機率的不懈建議。