請問巫師 #341
要讓兩顆骰子的總點數從 2 到 12 不等,預計需要擲幾次?請使用微積分來解答。
[劇透=解]
回想一下,擲出總數為 2 的機率是 1/36。在 t 次擲骰中,預期擲出總數為 2 的次數為 t/36。假設擲骰間隔時間呈指數分佈,平均值為 t/36。泊松分佈告訴我們,擲出總數為 2 的次數為零的機率為 exp(-t/36)。
回想一下,擲出總數 3 的機率是 2/36 = 1/18。依照同樣的邏輯,泊松分佈告訴我們,擲出總數 3 且擲出次數為零的機率是 exp(-t/18)。
回想一下,擲出總數 4 的機率是 3/36 = 1/12。依照同樣的邏輯,泊松分佈告訴我們,擲出總數 4 且擲出次數為零的機率是 exp(-t/12)。
回想一下,擲出總數 5 的機率是 4/36 = 1/9。依照同樣的邏輯,泊松分佈告訴我們,擲出總數 5 且擲出次數為零的機率是 exp(-t/9)。
回想一下,擲出總點數 6 的機率是 5/36。依照同樣的邏輯,泊松分佈告訴我們,擲出總點數 6 且擲出零點的機率是 exp(-5t/36)。
回想一下,擲出總數 7 的機率是 6/36 = 1/6。依照同樣的邏輯,泊松分佈告訴我們,擲出總數 7 且擲出零次的機率是 exp(-t/6)。
8 到 12 的機率與 2 到 6 的機率相同。
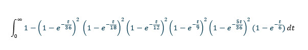
因此,每個總數中的 t 個單位至少被滾動一次的機率是:
(1-exp(-t/36))^2 * (1-exp(-t/18))^2 * (1-exp(-t/12))^2 * (1-exp(-t/9))^2 * (1-exp(-5t/36))^2 * (1-exp(-t/6))
在 t 個時間單位內至少 total 未滾動的機率為 1 - (1-exp(-t/36))^2 * (1-exp(-t/18))^2 * (1-exp(-t/12))^2 * (1-exp(-t/9))^2 * (1-exp(-5t/3)(-5t)
為了得到沒有至少一個總數的預期時間,我們將上述函數從 0 積分到無限大。

積分計算器(我推薦這個)可以輕鬆解決這個問題,因為 769767316159/12574325400 = apx。 61.2173847639572 卷。
[/spoiler]我在Wizard of Vegas論壇上提出並討論了這個問題。
重複擲兩顆骰子,一個紅色骰子,一個藍色骰子。記錄每個骰子的點數總和。當兩顆骰子點數相等時,預期角色數是多少?
[劇透=更多評論]
很難解釋為什麼答案是無限大。更令人困惑和矛盾的是,總數相等的機率是1。
下表顯示了 1 至 16 次投擲後總數首次相同的機率。
機率首次等於總數
| 麵包捲 | 可能性 |
|---|---|
| 1 | 0.166667 |
| 2 | 0.112654 |
| 3 | 0.092850 |
| 4 | 0.080944 |
| 5 | 0.072693 |
| 6 | 0.066539 |
| 7 | 0.061722 |
| 8 | 0.057819 |
| 9 | 0.054573 |
| 10 | 0.051819 |
| 11 | 0.049443 |
| 12 | 0.047367 |
| 十三 | 0.045532 |
| 14 | 0.043895 |
| 15 | 0.042423 |
| 16 | 0.041089 |
Excel 顯示與該曲線非常接近的擬合值為 y = 0.1784*x-1.011,其中 x = 滾動次數,y = 機率。
這個無窮級數的和是無限大。
[/spoiler]我在Wizard of Vegas論壇上提出並討論了這個問題。
賓州現金5遊戲的損益平衡頭獎是多少?你可以忽略稅費和頭獎分成。
首先,我們來了解一下規則。投注額為2美元。遊戲規則是,從43個球中抽出5個球。賠率表如下:
- 第 5 場比賽 = 大獎
- 數學 4 = 200 美元
- 第三場比賽 = 10 美元
- 第二場比賽 = 2 美元
此外,玩家還會拿到一張刮刮卡,我猜是一張刮刮卡。這張卡有 1/80 的機率支付 6 美元,1/5 的機率支付 2 美元。
下表是我對基礎遊戲的分析。結果顯示,中2到4個號碼的價值為0.287784美元。
現金 5 回饋表
| 抓住 | 支付 | 組合 | 可能性 | 返回 |
|---|---|---|---|---|
| 5 | 大獎 | 1 | 0.000001 | ? |
| 4 | 200 | 190 | 0.000197 | 0.039477 |
| 3 | 10 | 7030 | 0.007303 | 0.073032 |
| 2 | 2 | 84360 | 0.087638 | 0.175276 |
| 1 | 0 | 369075 | 0.383416 | 0.000000 |
| 0 | 0 | 501942 | 0.521445 | 0.000000 |
| 全部的 | 0 | 962598 | 1.000000 | 0.287784 |
下表展示了我對「快速現金」即時贏取功能的分析。右下角單元格顯示的價值為 0.475 美元。
即時現金回饋表
| 抓住 | 支付 | 可能性 | 返回 |
|---|---|---|---|
| 6 | 1 | 0.012500 | 0.075000 |
| 2 | 16 | 0.200000 | 0.400000 |
| 0 | 63 | 0.787500 | 0.000000 |
| 全部的 | 80 | 1.000000 | 0.475000 |
因此,非累積獎金的價值為 0.287784 美元 + 0.475000 美元 = 0.762784 美元。
設 j 等於損益兩平的累積獎金金額。則:
2 = 0.762784 + j × (1/962598)
1.237216 = j × (1/962598)
j = 1.237216 × 962598
j = 1,190,941.95 美元。
總回報率為 0.381392,加上每 100,000 美元大獎的 0.051943。
正如問題中所述,所有這些都忽略了稅收和獎金分享。
我在Wizard of Vegas論壇上提出並討論了這個問題。